40 - 环形链表
题目
给定一个链表,判断链表中是否有环。
为了表示给定链表中的环,我们使用整数 pos 来表示链表尾连接到链表中的位置(索引从 0 开始)。 如果 pos 是 -1,则在该链表中没有环。
示例 1:
输入:head = [3,2,0,-4], pos = 1 输出:true 解释:链表中有一个环,其尾部连接到第二个节点。

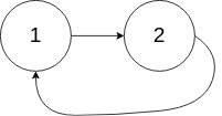
示例 2:
输入:head = [1,2], pos = 0 输出:true 解释:链表中有一个环,其尾部连接到第一个节点。

示例 3:
输入:head = [1], pos = -1 输出:false 解释:链表中没有环。

进阶:
你能用 O(1)(即,常量)内存解决此问题吗?
解答
作者:chitanda-eru
链接:https://leetcode-cn.com/problems/two-sum/solution/liang-chong-fang-fa-by-chitanda-eru/
哈希表
想法是遍历所有节点,并记一下之前有没有走过,如果有走过就发true。
Runtime: 60 ms, faster than 93.20% of JavaScript online submissions for Linked List Cycle.
Memory Usage: 37.7 MB, less than 33.76% of JavaScript online submissions for Linked List Cycle.
go
作者:elliotxx 链接:https://leetcode-cn.com/problems/two-sum/solution/8mskuai-man-zhi-zhen-hashsi-lu-de-go-shi-xian-by-e/
Runtime: 4 ms, faster than 99.12% of Go online submissions for Linked List Cycle.
Memory Usage: 6.1 MB, less than 12.20% of Go online submissions forLinked List Cycle.
判断head是否存在卡了一下。go中判断是head != nil。
其实不需要用到第四行if的值,因此if也可以这么写:
Runtime: 8 ms, faster than 34.60% of Go online submissions for Linked List Cycle.
Memory Usage: 6.1 MB, less than 12.20% of Go online submissions forLinked List Cycle.
感觉这么写更精确:
Runtime: 8 ms, faster than 34.60% of Go online submissions for Linked List Cycle.
Memory Usage: 6.1 MB, less than 12.20% of Go online submissions forLinked List Cycle.
这俩效果都没啥差别,不过似乎用官方标准写法优化得更好。可能因为判断不用具体到是否为int了。
双指针
一个跑得快,一个跑得慢。如果跑得快的遇上了跑得慢的,就有环,不然就没有。
Runtime: 56 ms, faster than 97.85% of JavaScript online submissions for Linked List Cycle.
Memory Usage: 36.6 MB, less than 64.28% of JavaScript online submissions for Linked List Cycle.
go
Runtime: 4 ms, faster than 99.12% of Go online submissions for Linked List Cycle.
Memory Usage: 3.8 MB, less than 24.39% of Go online submissions forLinked List Cycle.
这是根据js的思路写的,看到elliotxx对此的解法,似乎这个slow也不必设置了:
Runtime: 4 ms, faster than 99.12% of Go online submissions for Linked List Cycle.
Memory Usage: 3.8 MB, less than 100.00% of Go online submissions for Linked List Cycle.
对内存的占用简直出色
换言之js也能这么搞
Runtime: 64 ms, faster than 80.26% of JavaScript online submissions for Linked List Cycle.
Memory Usage: 36.8 MB, less than 41.38% of JavaScript online submissions for Linked List Cycle.
反而比之前慢了。。神奇。。
猜不出原因。
symbol
Runtime: 64 ms, faster than 80.26% of JavaScript online submissions for Linked List Cycle.
Memory Usage: 36.6 MB, less than 57.76% of JavaScript online submissions for Linked List Cycle.
symbol新建的变量,是独一无二的。这是 JavaScript 语言的第七种数据类型。
这里第二行新建了一个symbol。新建symbol不用new,而是直接等于。这下flag里面存的内容就是一个独一无二的symbol了。
然后跑链表。把跑过的链表全改写成建立的symbol,如果跑的时候遇到了这个symbol,就说明有环。
go
看到elliotxx对这个解法的描述:
走自己的路让别人无路可走
笑死了
他的做法是“将遍历过的节点值修改为一个后台不太可能设置的值”,这里我就用一个随机数代替
Runtime: 4 ms, faster than 99.12% of Go online submissions for Linked List Cycle.
Memory Usage: 3.8 MB, less than 21.95% of Go online submissions forLinked List Cycle.
但中感觉这就是一个漏洞,万一后台设置了呢?
查了半天找不到go中对应js的symbol,可能因为go是强类型,已经规定了输入是int了,就不能再重新赋值为其他类型了。而js就不用管这些。
因此只能想到这么一个补救措施:用随机数跑两遍。
如果是环,那么跑两遍的结果都是true
如果有个节点的值恰好为第一个随机数,导致了返回true,那么第二个值也能校验是否为环
如果这个链表恰好先有个节点,值为第一个随机数,又恰好后有个节点,值为第二个随机数
这种极小概率的事件,能出现我也认了。
没有symbol的话我只能想到这么做了。
Runtime: 4 ms, faster than 99.12% of Go online submissions for Linked List Cycle.
Memory Usage: 3.8 MB, less than 21.95% of Go online submissions forLinked List Cycle.
不知道为啥跑两遍的结果是一样的。。。
go的随机数:
生成随机数有两种方法:
结果key1和key3一样,key2和key4一样。

经测试,同一个函数内,time.Now().Unix()生成的值都是一样的。因为go的执行都是以毫秒计时的,而Unix()只能换算到秒,因此随机数的种子都是一样的。而同一个种子下算出的随机数是一样的,所以才会有这种结果。
因此要用UnixNano(),用毫秒来统计,种子就不同了,随机数也就不同了。
感觉这个奇怪的冷知识就是为了防止两个函数的随机数设置重复吧,用毫秒最保险。
测试环境
这题完全无法测试。。自己做出来的链表不会有闭环的。。
如果要做的话,每个测试样例都要专门做,感觉就很麻烦。。
Last updated