42 - 相交链表
题目
编写一个程序,找到两个单链表相交的起始节点。
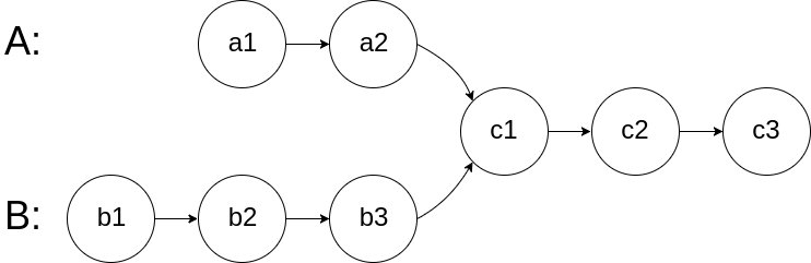
如下面的两个链表:

在节点 c1 开始相交。
示例 1:

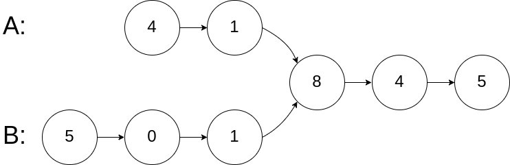
输入:intersectVal = 8, listA = [4,1,8,4,5], listB = [5,0,1,8,4,5], skipA = 2, skipB = 3 输出:Reference of the node with value = 8 输入解释:相交节点的值为 8 (注意,如果两个列表相交则不能为 0)。从各自的表头开始算起,链表 A 为 [4,1,8,4,5],链表 B 为 [5,0,1,8,4,5]。在 A 中,相交节点前有 2 个节点;在 B 中,相交节点前有 3 个节点。
示例 2:

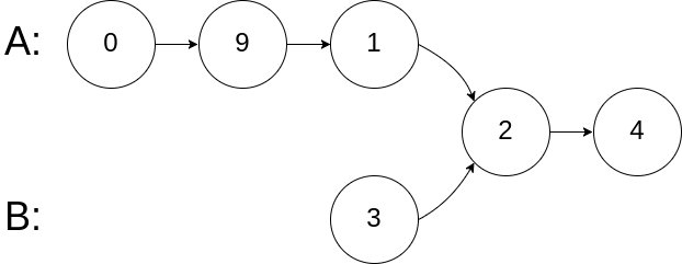
输入:intersectVal = 2, listA = [0,9,1,2,4], listB = [3,2,4], skipA = 3, skipB = 1 输出:Reference of the node with value = 2 输入解释:相交节点的值为 2 (注意,如果两个列表相交则不能为 0)。从各自的表头开始算起,链表 A 为 [0,9,1,2,4],链表 B 为 [3,2,4]。在 A 中,相交节点前有 3 个节点;在 B 中,相交节点前有 1 个节点。
示例 3:

输入:intersectVal = 0, listA = [2,6,4], listB = [1,5], skipA = 3, skipB = 2 输出:null 输入解释:从各自的表头开始算起,链表 A 为 [2,6,4],链表 B 为 [1,5]。由于这两个链表不相交,所以 intersectVal 必须为 0,而 skipA 和 skipB 可以是任意值。 解释:这两个链表不相交,因此返回 null。
注意:
如果两个链表没有交点,返回 null.
在返回结果后,两个链表仍须保持原有的结构。
可假定整个链表结构中没有循环。
程序尽量满足 O(n) 时间复杂度,且仅用 O(1) 内存。
解答
Symbol
对之前的“走自己的路让别人无路可走”,念念不忘。
于是第一反应就是用symbol()覆盖掉整个链表,每一步都把值存起来。如果另一个链表循环的时候遇到了相同的值,那么就说明相交了。
虽然这么做吧链表的值给改了,但可以在提交前把值再贴回去呀。
var rewrite = function (temp, headA) {
let c = headA
temp.map(e => {
c.val = e
c = c.next
})
}
var getIntersectionNode = function (headA, headB) {
const flag = Symbol()
let a = headA
b = headB
temp = []
while (a) {
temp.push(a.val)
a.val = flag
a = a.next
}
while (b) {
if (b.val === flag) {
rewrite(temp, headA)
return b
}
b = b.next
}
rewrite(temp, headA)
return null
};Runtime: 100 ms, faster than 21.23% of JavaScript online submissions for Intersection of Two Linked Lists.
Memory Usage: 42.8 MB, less than 78.85% of JavaScript online submissions for Intersection of Two Linked Lists.
研究了一下题解,这种想法倒没啥人想到
作者:mathman-WcD7GSqY1y
这个人提到了用素数作为标记,感觉是没有symbol的替代法,似乎也能用随机数吧。
双指针
作者:LeetCode
链接:https://leetcode-cn.com/problems/two-sum/solution/xiang-jiao-lian-biao-by-leetcode/
作者:user7208t
链接:https://leetcode-cn.com/problems/two-sum/solution/tu-jie-xiang-jiao-lian-biao-by-user7208t/
非常巧妙的解法,headA跑完了到 headB的头,headB跑完了到 headA的头。相当于做了a+b和b+a的两个链表。

如果两个表相交了,那么就会返回相交点;如果不相交就会返回null

/**
* @param {ListNode} headA
* @param {ListNode} headB
* @return {ListNode}
*/
var getIntersectionNode = function (headA, headB) {
if (!headA || !headB) {
return null
}
let a = headA
b = headB
while (a !== b) {
a = a ? a.next : headB
b = b ? b.next : headA
}
return a
}Runtime: 80 ms, faster than 90.19% of JavaScript online submissions for Intersection of Two Linked Lists.
Memory Usage: 42.9 MB, less than 65.38% of JavaScript online submissions for Intersection of Two Linked Lists.
go
func getIntersectionNode(headA, headB *ListNode) *ListNode {
if headA == nil || headB == nil {
return nil
}
a, b := headA, headB
for a != b {
if a != nil {
a = a.Next
} else {
a = headB
}
if b != nil {
b = b.Next
} else {
b = headA
}
}
return a
}Runtime: 44 ms, faster than 83.11% of Go online submissions forIntersection of Two Linked Lists.
Memory Usage: 8.2 MB, less than 92.86% of Go online submissions forIntersection of Two Linked Lists.
Last updated
Was this helpful?