比赛
猜数字
小A 和 小B 在玩猜数字。小B 每次从 1, 2, 3 中随机选择一个,小A 每次也从 1, 2, 3 中选择一个猜。他们一共进行三次这个游戏,请返回 小A 猜对了几次?
输入的guess数组为 小A 每次的猜测,answer数组为 小B 每次的选择。guess和answer的长度都等于3。
示例 1:
输入:guess = [1,2,3], answer = [1,2,3] 输出:3 解释:小A 每次都猜对了。
示例 2:
输入:guess = [2,2,3], answer = [3,2,1] 输出:1 解释:小A 只猜对了第二次。
限制:
guess的长度 = 3answer的长度 = 3guess的元素取值为{1, 2, 3}之一。answer的元素取值为{1, 2, 3}之一。
解答
var game = function (guess, answer) {
let ans = 0
for (let i = 0; i < guess.length; i++) {
if (answer[i] === guess[i]) {
ans++
}
}
return ans
};func game(guess []int, answer []int) int {
ans := 0
for i := 0; i < len(guess); i++ {
if guess[i] == answer[i] {
ans++
}
}
return ans
}分式化简
将一个连分数化成最简分数

在本题中,所有系数都是大于等于0的整数。
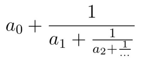
输入的cont代表连分数的系数(cont[0]代表上图的a0,以此类推)。返回一个长度为2的数组[n, m],使得连分数的值等于n / m,且n, m最大公约数为1。
示例 1:
输入:cont = [3, 2, 0, 2] 输出:[13, 4] 解释:原连分数等价于3 + (1 / (2 + (1 / (0 + 1 / 2))))。注意[26, 8], [-13, -4]都不是正确答案。
示例 2:
输入:cont = [0, 0, 3] 输出:[3, 1] 解释:如果答案是整数,令分母为1即可。
限制:
cont[i] >= 01 <= cont的长度 <= 10cont最后一个元素不等于0答案的
n, m的取值都能被32位int整型存下(即不超过2 ^ 31 - 1)。
解答
const gcd = function (a, b) {
if (a === b) {
return b;
}
if (a > b) {
a -= b;
} else {
b -= a;
}
return arguments.callee(a, b)
}
var fraction = function (cont) {
if (cont.length === 1) {
return [cont[0], 1]
}
const right = fraction(cont.slice(1))
const top = cont[0] * right[0] + right[1]
down = right[0]
let gcdd = gcd(top, down)
while (gcdd !== 1) {
top = Math.floor(top / gcdd)
down = Math.floor(down / gcdd)
gcdd = gcd(top, down)
}
return [top, down]
};没通过。。也不知道错哪了。。
func fraction(cont []int) []int {
}机器人大冒险
力扣团队买了一个可编程机器人,机器人初始位置在原点(0, 0)。小伙伴事先给机器人输入一串指令command,机器人就会无限循环这条指令的步骤进行移动。指令有两种:
U: 向y轴正方向移动一格R: 向x轴正方向移动一格。
不幸的是,在 xy 平面上还有一些障碍物,他们的坐标用obstacles表示。机器人一旦碰到障碍物就会被损毁。
给定终点坐标(x, y),返回机器人能否完好地到达终点。如果能,返回true;否则返回false。
示例 1:
输入:command = "URR", obstacles = [], x = 3, y = 2 输出:true 解释:U(0, 1) -> R(1, 1) -> R(2, 1) -> U(2, 2) -> R(3, 2)。
示例 2:
输入:command = "URR", obstacles = [[2, 2]], x = 3, y = 2 输出:false 解释:机器人在到达终点前会碰到(2, 2)的障碍物。
示例 3:
输入:command = "URR", obstacles = [[4, 2]], x = 3, y = 2 输出:true 解释:到达终点后,再碰到障碍物也不影响返回结果。
限制:
2 <= command的长度 <= 1000command由U,R构成,且至少有一个U,至少有一个R0 <= x <= 1e9, 0 <= y <= 1e90 <= obstacles的长度 <= 1000obstacles[i]不为原点或者终点
解答
/**
* @param {string} command
* @param {number[][]} obstacles
* @param {number} x
* @param {number} y
* @return {boolean}
*/
var robot = function(command, obstacles, x, y) {
};func robot(command string, obstacles [][]int, x int, y int) bool {
}覆盖
你有一块棋盘,棋盘上有一些格子已经坏掉了。你还有无穷块大小为1 * 2的多米诺骨牌,你想把这些骨牌不重叠地覆盖在完好的格子上,请找出你最多能在棋盘上放多少块骨牌?这些骨牌可以横着或者竖着放。
输入:n, m代表棋盘的大小;broken是一个b * 2的二维数组,其中每个元素代表棋盘上每一个坏掉的格子的位置。
输出:一个整数,代表最多能在棋盘上放的骨牌数。
示例 1:
输入:n = 2, m = 3, broken = [[1, 0], [1, 1]] 输出:2 解释:我们最多可以放两块骨牌:[[0, 0], [0, 1]]以及[[0, 2], [1, 2]]。(见下图)

示例 2:
输入:n = 3, m = 3, broken = [] 输出:4 解释:下图是其中一种可行的摆放方式

限制:
1 <= n <= 81 <= m <= 80 <= b <= n * m
解答
/**
* @param {number} n
* @param {number} m
* @param {number[][]} broken
* @return {number}
*/
var domino = function(n, m, broken) {
};func domino(n int, m int, broken [][]int) int {
}发 LeetCoin
力扣决定给一个刷题团队发LeetCoin作为奖励。同时,为了监控给大家发了多少LeetCoin,力扣有时候也会进行查询。
该刷题团队的管理模式可以用一棵树表示:
团队只有一个负责人,编号为1。除了该负责人外,每个人有且仅有一个领导(负责人没有领导);
不存在循环管理的情况,如A管理B,B管理C,C管理A。
力扣想进行的操作有以下三种:
给团队的一个成员(也可以是负责人)发一定数量的
LeetCoin;给团队的一个成员(也可以是负责人),以及他/她管理的所有人(即他/她的下属、他/她下属的下属,……),发一定数量的
LeetCoin;查询某一个成员(也可以是负责人),以及他/她管理的所有人被发到的
LeetCoin之和。
输入:
N表示团队成员的个数(编号为1~N,负责人为1);leadership是大小为(N - 1) * 2的二维数组,其中每个元素[a, b]代表b是a的下属;operations是一个长度为Q的二维数组,代表以时间排序的操作,格式如下: 1.
operations[i][0] = 1: 代表第一种操作,operations[i][1]代表成员的编号,operations[i][2]代表LeetCoin的数量; 2.operations[i][0] = 2: 代表第二种操作,operations[i][1]代表成员的编号,operations[i][2]代表LeetCoin的数量; 3.operations[i][0] = 3: 代表第三种操作,operations[i][1]代表成员的编号;
输出:
返回一个数组,数组里是每次查询的返回值(发LeetCoin的操作不需要任何返回值)。由于发的LeetCoin很多,请把每次查询的结果模1e9+7 (1000000007)。
示例 1:
输入:N = 6, leadership = [[1, 2], [1, 6], [2, 3], [2, 5], [1, 4]], operations = [[1, 1, 500], [2, 2, 50], [3, 1], [2, 6, 15], [3, 1]] 输出:[650, 665] 解释:团队的管理关系见下图。 第一次查询时,每个成员得到的LeetCoin的数量分别为(按编号顺序):500, 50, 50, 0, 50, 0; 第二次查询时,每个成员得到的LeetCoin的数量分别为(按编号顺序):500, 50, 50, 0, 50, 15.

限制:
1 <= N <= 500001 <= Q <= 50000operations[i][0] != 3 时,1 <= operations[i][2] <= 5000
解答
/**
* @param {number} n
* @param {number[][]} leadership
* @param {number[][]} operations
* @return {number[]}
*/
var bonus = function(n, leadership, operations) {
};func bonus(n int, leadership [][]int, operations [][]int) []int {
}Last updated
Was this helpful?